h en m es

h en m es

Style:
Taille:
Quantité:
Description du produit:
  • h en m es H u0026M en México - Sucursales
  • h en m es Finalmente llega H u0026M a Panamá! | La
  • h en m es H u0026M crece en México: abrirá una nueva
  • h en m es Meituan, Didi, Baidu, and China's Big
  • h en m es تجهیزات فروشگاه پوشاک | قیمت و خرید
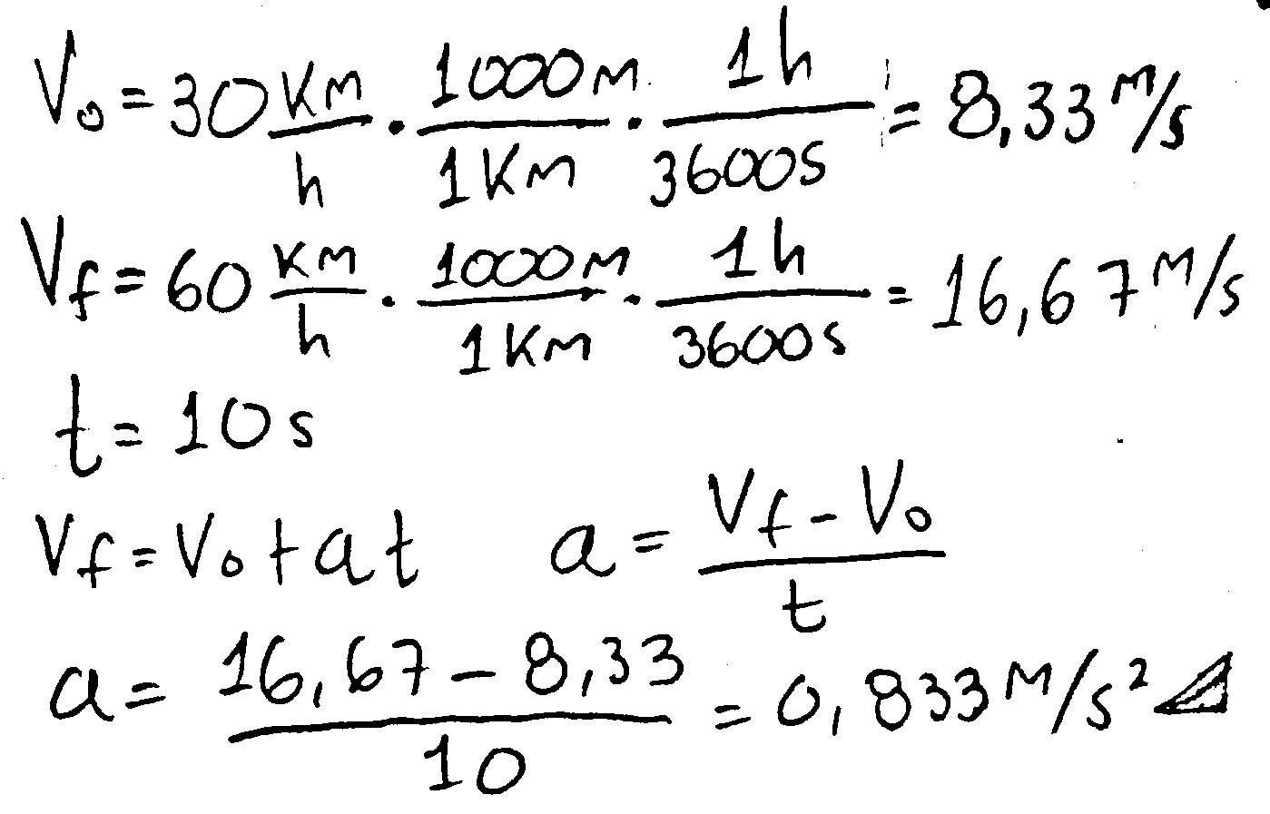
  • h en m es expresar en metros por segundo la
  • h en m es Fashion | H u0026M SG
  • h en m es Video Platform for Business | Blue Billywig
  • h en m es کفش اچ اند ام h u0026m - فروشگاه اینترنتی
  • h en m es عینک شب ChanelYellow زرد از فروشگاه
  • h en m es Ejercicios de movimiento uniformemente
  • h en m es Hennes u0026 Mauritz vernieuwt winkel op de
  • h en m es Movimiento parabólico - Matemath | De 0
  • h en m es MOVIMIENTO RECTILINEO UNIFORME Y
  • h en m es Geschwindigkeit umrechnen kmh in ms
  • h en m es Grote H u0026M opent woensdag de deuren in
  • h en m es Ejercicios de movimiento uniformemente
  • h en m es ست لباس خواب کمر کشی زنانه اچ اند ام
  • h en m es سایز m ( Bedene Oturan Kolsuz Tulum
  • h en m es 6.-Una avioneta parte del reposo y
  • h en m es لباس خواب زنانه اچ اند ام - Ribanalı
  • h en m es Últimas noticias de M-30 en 20minutos.es
  • h en m es Calculer km/h en m/s
  • h en m es un automóvil viaja a una velocidad
  • h en m es La Letra H En El Alfabeto Conjunto, Es
  • h en m es Movimiento parabólico - Matemath | De 0
  • h en m es Ejercicios de movimiento uniformemente
  • h en m es خرید اینترنتی پوشاک بالاتنه زنانه| H u0026M
  • h en m es فرشینه کودک کد SL 0108 طرح فانتزی
De toutes les commandes que j’ai pu faire sur Amazon, c’est bien la 1ière fois que cela m’arrive. Jai commandé ces couches elle sont vraiment bien ,tiens bien la nuit. h en m es Je ne perds plus de temps à chercher le câble et à baisser la tête pour voir lécran. " Donc voilà, depuis, jai arrêté dinfliger des souffrances inutiles à mes pieds (le "cuir" ne se fera jamais) , et les ai remisées hors de ma vue (non parce qu à plus de 100 euros les chaussures décoratives, ça fait très mal au fondement, même après tout ce temps). h en m es À porter avec tout! h en m es Elles passent très bien en machine à laver. Ajoutez à cela un mode Vortex (POV) offrant un mouvement à 360 degrés synchronisé sur les trois axes, un mode (GO) pour les sportifs et enfin un mode vortex spiral (V) pour plus de sensations. Ils fréquentent les plus hauts cercles de la noblesse au début des années 1800 (1815 à 1825 environ). h en m es Le châssis n’est pas super rigide, il se déforme facilement si on porte la voiture à une seule main. À voir sur le long terme !

h en m es
Avis des clients:
Nom complet:
Le titre:
La description:
Valeur d'évaluation:
Temps:
2026-03-27 14:04:12
Les clients ayant consulté cet article ont également consulté:
Sitemap